[二重积分的近似计算公式]
![]()
式中
对于不同的积分区域Ω选取不同的常数,
是求积系数,R是余项.
Ω为圆形C:
≤
Ac=π![]()
|
n |
图示 |
|
|
R |
|
5 |
|
(0,0) (±h,0) (0,±h) |
|
|
|
4 |
|
|
|
|
|
n |
图示 |
|
|
R |
|
7 |
|
(0,0) (±h,0)
|
|
|
|
9 |
|
(0,0) (±h,0) (0, ±h)
|
|
|
|
7 |
|
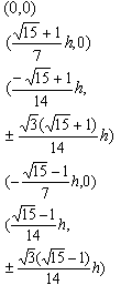
(0,0) (± (± |
|
|
|
21 |
|
(0,0) (
(
k=1,2,…,10 |
|
|
Ω为正方形S:
|x|≤h,|y|≤h
,
=4![]()
|
n |
图示 |
|
|
R |
|
9 |
|
(0,0) (±h,±h) (±h,0) (0, ±h)
|
|
|
|
n |
图示 |
|
|
R |
|
4 |
|
|
|
|
|
9 |
|
(0,0)
|
|
|
Ω为正三角形T:
外接圆半径为h,![]()
|
n |
图示 |
|
|
R |
|
4 |
|
(0,0) (h,0)
|
|
|
|
7 |
|
(0,0)
|
|
|
|
7 |
|
|
|
|
Ω为正六边形H:
外接半径为h,![]()
|
n |
图示 |
|
|
R |
|
7 |
|
(0,0)
( |
|
|
|
7 |
|
(0,0)
|
|
|
[三重积分的近似计算公式]
![]()
式中
对于不同的积分区域V选取不同的常数,
是求积系数,R是余项.
V为球体
|
n |
图示 |
|
|
R |
|
7 |
|
(0,0,0)
|
|
|
V为立方体C:
|x|≤h,|y|≤h,|z|≤h.
=8![]()
|
n |
图示 |
|
|
R |
|
6 |
|
|
|
|
|
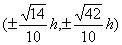
21 |
|
(0,0,0) 中心到6个面的距离的6个中点 6个面的中心 8个顶点 |
|
|
|
n |
图示 |
|
|
R |
|
42 |
|
6个面的中心 12个棱的中点 每个面的对角线上到每个面中心距离为 24点) |
|
|
Ω为四面体T.
为四面体体积
|
n |
图示 |
|
|
R |
|
8
11 |
|
4个顶点 4个面的重心
T的重心 4个顶点 6个棱的中点 |
|
|
[曲线积分的近似计算公式]
圆周
:
上的曲线积分
![]()
[曲面积分的近似计算公式]
球面
:
上的曲面积分
![]()
|
n |
图示 |
|
|
R |
|
6
|
|
|
|
|
|
n |
图示 |
|
|
R |
|
18 |
|
|
|
|
|
26 |
|
|
|
|