二、标准差《医学统计学》

二、标准差

1.标准差的公式 样本标准差是用得最多的变异指标,其公式为

 (4.14)

式(4.14)中的n-1是自由度。n个变量值本有n个自由度,但计算标准差时用了样本均数X,因此就受到了一个条件即∑X= nX的限制。例如有4个数据,它们的均数为5。由于受到均数为5的限制,4个数据中只有3个可以任意指定。如果任意指定的是4、3、6,那么第4个数据只能是7,否则均数就不是5了。所以标准差的自由度为n-1。

2.标准差的计算

(1)按基本公式(4.14)计算

例4.9 用例4.3资料计算心重的标准差。

已算得X=293.75g,代入式(4.14)得

(2)递推法当用电子计算机进行计算,希望每输入一个数据,都能得到X与S,则将式(4.8)与式

(4.5)配合计算。

(4.15)

这里Sn表示n个数据的标准差,Sn-1表示n-1个数据的标准差。Xn是第n个数据,Xn-1是n-1个数据的均数。

例4.10 仍用例4.3资料,已算得前19例心重的X19=292.37,S19=38.71。X20=320,代入式(4.15)得

(3)直接法 不需先计算均数,直接用变量值代入式(4.16)或式(1.17)计算。

(4.16)

或  

(4.17)

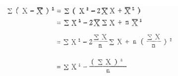
式(4.16)的分子是由式(4.14)的分子简化而得来的,证明如下。

例4.11用ELISA(酶联免疫吸附测定)法检测vero-E6,细胞培养上清正常标本10份的结果(100XOD490值)为2,3,3,4,4,5,5,5,6,8,求标准差。

若用式(4.16)则先计算

∑X=2+3+3+…+6+8=45

∑X2=22+32+32+…62+82=229

若用式(4.17)则先计算

∑fX=1×2+2×3+…+1×6+1×8=45

∑fX2=1×22+2×32+…1×62+1×82=229

然后代入式(4.16)或式(1.17)结果相同。

上一页:一、变异指标的意义及种类
当前页:二、标准差
下一页:三、变异系数