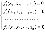
九、下降法

对任意实系数超越方程组

(1)

定义目标函数

F(x1,x2,L ,xn)=

如果F(x1,x2,L,xn)<e e为在一定精确度下给定的适当小的正数),则认为x1,x2,L ,xn为方程组(1)的解.

具体计算步骤如下:

1)任取一组初始值x1(0),x2(0),L,xn(0)(全不为零),设已按照下述过程计算到第m步得到一组值:x1(m),x2(m),L ,xn(m)

2)计算

Fm=F(x1(m),x2(m),L ,xn(m))

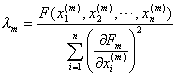
3)若Fm<e ,则x1(m),x2(m),L ,xn(m)是所求的解,否则计算n个偏导数:

[F(x1(m),x2(m),L,xi(m)+Hi,L,xn(m))-Fx1(m),x2(m),L ,xn(m)]

Hi=wxi(m) i=1,2,L ,n

4)计算

xi(m+1)= xi(m), i=1,2,L,n

式中

得到一组{xi(m+1)},再重复(2),(3,4)的计算.