设f(x),g(x)在区间[a,b]上可积,则有下列不等式:
(1) 若在区间[a,b]上,f(x)≤g(x),则
≤![]()
(2) 设
,则
m≤
≤M
(3)
≤![]()
(4) 施瓦兹不等式
![]()
(5) 赫尔德不等式 设k>1,
>1,
,则
![]()
等号只当f(x)g(x)符号固定且
(c为正常数)时成立,当k=k'=2时,就是施瓦兹不等式.
(6) 闵可夫斯基不等式 设r>0,则
≤
(r≥1)
≥![]()
(r<1, f(x)与g(x)在[a,b]上同号)
等号只当f(x)=cg(x)(c为常数)时成立.
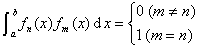
(7) 贝塞耳不等式 设
(n为正整数)在[a,b]上为一正规正交系:
![]()
则
≤![]()
(8) 哈代不等式 设f(x)在[0,∞)上可微且上升,f '(x)连续,f(0)=0,p>1,则
![]()
等号只当f(x)≡0时成立.