二、平面上点与直线的相互关系

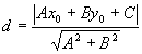
[点线的距离]

法线式

一般式

 

 

d=

式中d为点M(x0, y0)到直线L的距离

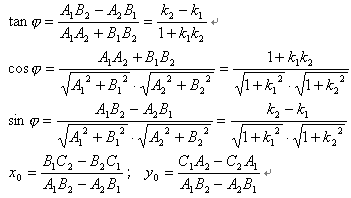
[二直线的夹角]

L1 A1x + B1y + C1 = 0

斜率为k1

L2 A2x + B2y + C2= 0

斜率为k2

为二直线的夹角(从L1L2为逆时针时为正),为二直线的交点

 

 

 

 

 

特别, 当()时,L1//L2;

时,L1L2重合;

A1A2+B1B2 = 0 (1 + k1k2 = 0)时,L1L2

[直线束× 三直线共点的条件]

Ll (A1x + B1y + C1) + l (A2x + B2y + C2) = 0, (l 为参数,-¥ < l < ¥ )

l 的一个确定值,Ll 表示一条通过二直线(L1L2)的交点G的直线,当l 取一切值时,Ll 所表示的通过G的直线的全体称为直线束,G称为直线束的顶点(或中心).

L3A3x + B3y + C3 = 0,则三条直线L1, L2, L3共点的条件为行列式

如果二直线方程以法线式给定,则|l |为直线Ll 上任一点到二给定直线之间的距离之比,对应与 l = 1 l = -1的直线为给定二直线夹角的平分线